Definisi
Secara umum konvolusi didefinisikan sebagai cara untuk mengkombinasikan dua buah deret angka yang menghasilkan deret angka yang ketiga.Secara matematis, konvolusi adalah integral yang mencerminkan jumlah lingkupan dari sebuah fungsi a yang digeser atas fungsi b sehingga menghasilkan fungsi c. Konvolusi dilambangkan dengan asterisk (*).Sehingga, a*b = c; berarti fungsi a dikonvolusikan dengan fungsi b menghasilkan fungsi c.
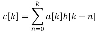
Konvolusi dari dua fungsi a dan fungsi b dalam rentang terbatas [0, t] diberikan oleh :
Dan bila secara diskrit, maka rumusnya menjadi :
Konvolusi dikawasan waktu (time domain) ekuivalen dengan perkalian dikawasan frekuensi dan sebaliknya konvolusi dikawasan frekuensi ekuivalen dengan perkalian dikawasan waktu [Bracewell, 1965]
- Rumus konvolusi muncul dari adanya sifat linieritas dan invarian waktu pada sistem. Sebagai konsekwensinya, respon sistem terhadap setiap sinyal masukan yang berubah-ubah dapat dinyatakan dari segi respon cuplikan unit sistem.
- Misal dipunyai sinyal x[n] yang berubah-ubah, maka x[n] dapat didekomposisi menjadi jumlahan bobot (skala) deret cuplikan unit yang digeser (impuls)
Konvolusi menggabungkan tiga buah sinyal –> sinyal masukan, sinyal keluaran, dan respon impuls. Konvolusi adalah cara matematik untuk mengkombinasikan dua buah sinyal menjadi sinyal dalam bentuk lain.
Notasi Konvolusi
y[n]= x[n] * h[n] bersifat komutatif, sehingga bisa juga menjadi y[n]= h[n] * x[n]
Langkah-langkah Konvolusi
- Pencerminan (folding). Cerminkan h[k] pada k=0 untuk memperoleh h[-k]
- Pergeseran (shifting). Geser h[-k] dengan n0 ke kanan (kiri) jika n0 positif (negatif) untuk memperoleh h[n0-k]
- Perkalian (multiplication). Kalikan x[k] dengan h[n0-k] untuk memperoleh produk
- Penjumlahan (summation). Jumlahkan seluruh nilai deret produk Vn0[k] untuk memperoleh nilai pada waktu n=n0
Contoh Konvolusi:
Respon impuls dari suatu sistem LTI (Linier Time Invariant) adalah :
h[n]={1, 2, 1,-1}
Tentukan respon sistem terhadap sinyal masukan :
x[n]={1, 2, 3,1}
Penyelesaian :
Untuk menjawab permasalahan diatas dapat dilakukan Dengan 2 cara –> secara grafik dan secara analitik
1. Secara Grafik

2. Secara Analitik

Proses pemilteran dengan konvolusi pada sinyal noise

Untuk latihan lebih lanjut tentang konvolusi dengan menggunakan matlab : https://miqbal.staff.telkomuniversity.ac.id/konvolusi-pada-matlab/

